Cách dùng SMA - Đường trung bình trượt giản đơn tìm xu hướng giá cổ phiếu
Simple Moving Average (SMA) - Đường trung bình động giản đơn là loại Đường trung bình đơn giản nhất để tính toán và ứng dụng trong Phân tích kỹ thuật Chứng khoán thực chiến.
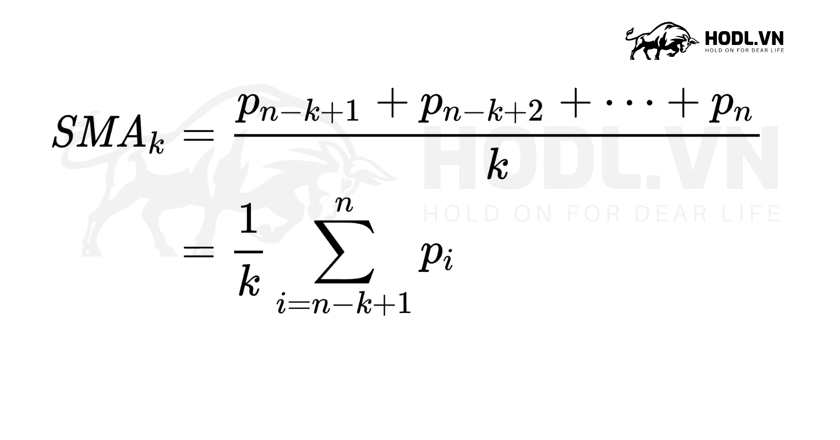
Về cơ bản, Mức trung bình động đơn giản được tính bằng cách CỘNG giá đóng cửa của K khoảng thời gian, Sau đó chia cho K.
WTF - Cái gì loằng ngoằng vậy??? Đầu tư chứng khoán mà phải tính toán hại não như này ah!?
Đừng lo lắng, chúng ta sẽ cùng làm cho thứ loằng ngoằng phía trên trở nên rõ ràng - đơn giản và... dễ sử dụng!
Nội dung
1. Công thức tính giá trị Simple Moving Average
Các yêu cầu trước khi tính Simple Moving Average (SMA):
- Lựa chọn khung thời gian để tính. Khung nào cũng được VD: Một giờ, 4 giờ, 1 ngày... (H1, H4, D1)
- Xác định số chu kỳ muốn tính, gọi chung số chu kỳ là X. VD: 5, 10, 20, 50...
- Xác định các mức giá đóng cửa P của mỗi khung thời gian này. VD: Nếu sử dụng biểu đồ nến thì có các mức High, Open, Close, Low. Close là giá đóng cửa.
Để tính Simple Moving Average (SMA): Cộng tất cả các giá đóng cửa theo chu kỳ lựa chọn K và chia Tổng đó cho chính K.

Bạn cũng có thể sử dụng giá Mở cửa, giá cao, giá thấp để tính SMA thay vì dùng giá đóng cửa. Tuy nhiên, mặc định và phổ biến nhất trong phân tích kỹ thuật thường dùng các đường SMA được tính theo giá Đóng cửa của chu kỳ giao dịch (Closed Price).
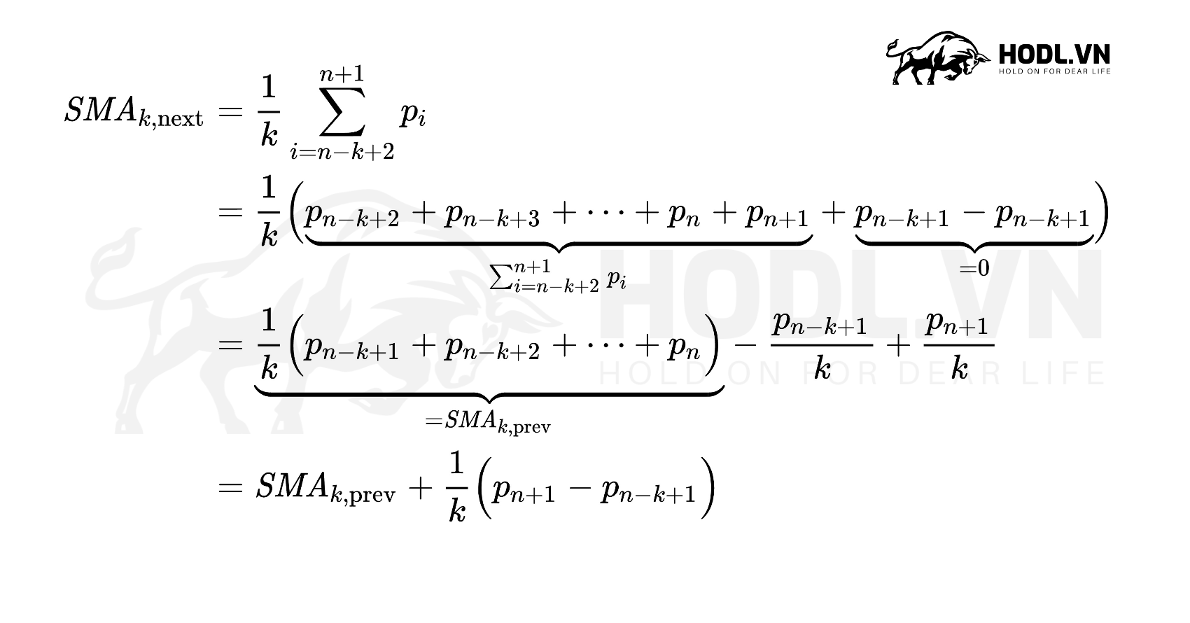
Để tính giá trị SMA cho ngày kế tiếp, chúng ta sẽ sử dụng công thức dưới đây:

2. Cách tính SMA trong chứng khoán
Để tính toán các giá trị SMA tham khảo, Tôi sẽ xuất lịch sử dữ liệu giá cổ phiếu sau đó tính toán giá trị mẫu để các bạn hiểu về việc tính toán này.
Trong biểu đồ nến D1 cổ phiếu VCB, sau khi trích xuất dữ liệu Tôi có bảng số liệu các mức giá Time - Open - High - Low - Close - Volume như sau:

Để tính toán theo các tham số mặc định, Tôi sẽ tính giá trị SMA theo các số liệu sau:
- Giá sử dụng (P): Giá đóng cửa (Close Price)
- Khung thời gian: D1 - 1 ngày
- Chu kỳ tính (Period - K): 5 ngày
Giả sử muốn tính Simple Moving Average với chu kỳ 5 ngày từ 02/10/2023 - 06/10/2023 thì ngày 02 - ngày 05 sẽ không tính được giá trị SMA vì chưa đủ tham số tính toán. Chúng ta chỉ có thể tính giá trị trung bình động giản đơn từ ngày 06/10/2023.
- Ngày 01: Ngày 02/10/2023 giá đóng cửa = 86500
- Ngày 02: Ngày 03/10/2023 giá đóng cửa = 86300
- Ngày 03: Ngày 04/10/2023 giá đóng cửa = 86300
- Ngày 04: Ngày 05/10/2023 giá đóng cửa = 84500
- Ngày 05: Ngày 06/10/2023 giá đóng cửa = 85400
- Ngày 06: Ngày 09/10/2023 giá đóng cửa = 84600
- Ngày 07: Ngày 10/10/2023 giá đóng cửa = 86100
- Ngày 08: Ngày 11/10/2023 giá đóng cửa = 86500
- Ngày 09: Ngày 12/10/2023 giá đóng cửa = 86000
- Ngày 10: Ngày 13/10/2023 giá đóng cửa = 86600
SMA chu kỳ 5 ngày cho ngày 06/10/2023 = (Tổng giá đóng cửa từ ngày 02/10/2023 đến ngày 06/10/2023)/5
Hay:
SMA Ngày 1 = (Ngày 1 + Ngày 2 + Ngày 3 + Ngày 4 + Ngày 5)/5 = (86500 + 86300 + 86300 + 84500 + 85400)/5 = 85800
SMA ngày 2 = (Ngày 2 + Ngày 3 + Ngày 4 + Ngày 5 + Ngày 6)/5 = (86300 + 86300 + 84500 + 85400 + 84600)/5 = 85420
SMA ngày 3 = (Ngày 3 + Ngày 4 + Ngày 5 + Ngày 6 + Ngày 7)/5 = (86300 + 84500 + 85400 + 84600 + 86100)/5 = 85380
Bây giờ các bạn đã hiểu cách tính SMA cho các chu kỳ rồi chứ?
Dưới đây là bảng Excel kết quả tính:

Trên Excel bạn chỉ cần sử dụng hàm Average() để tính giá trị SMA rất đơn giản và hiệu quả.
Ví dụ, để tính giá trị SMA của Cổ phiếu Vietcombank như phía trên, bạn chỉ cần thêm một cột SMA và lựa chọn số kỳ muốn tính. Minh hoạ phía trên, Tôi tính SMA(5) - Chu kỳ 5 ngày dựa trên giá đóng cửa:
=AVERAGE(86500,86300,86300,84500,85400)
Tải về:
Thực ra sau khi bạn đọc đến đây, Tô sẽ tiết lộ một bí mật động trời là: Bạn chẳng cần phải tính các con số trên làm khỉ gì. Vì hầu hết các nền tảng giao dịch của các Brokers hiện đều đang sử dụng thư viện biểu đồ của TradingView dưới dạng Mã nguồn mở nên mọi chỉ báo đều được tính toán tự động và vẽ luôn biểu đồ giúp bạn rồi. Việc tính toán này đa phần dành cho những nhà đầu tư theo trường phái cổ điển và theo dõi giá - chỉ số thật sự sâu.
3. Cách thêm SMA vào biểu đồ kỹ thuật cổ phiếu
Vì hầu hết các nền tảng giao dịch của các Brokers hiện đều đang sử dụng thư viện biểu đồ của TradingView nên việc thêm chỉ báo SMA vào biểu đồ kỹ thuật tương đối đơn giản.
Để thêm các đường SMA - Trung bình động giản đơn trong biểu đồ kỹ thuật chứng khoán bạn chọn biểu tượng hàm số -> Các chỉ báo -> Gõ vào khung tìm kiếm "Trung bình trượt":

Để tuỳ chỉnh chu kỳ, màu sắc và loại giá tính toán, bạn chỉ cần bấm vào Thông tin chỉ báo ở phía bên trái của biểu đồ:

Hình ảnh minh hoạ phía trên các thông số là:
Chart sử dụng: Cổ phiếu VNM khung thời gian D1 = 1 ngày
Chiều dài - Period: 10 ngày
Loại đường Trung Bình Động sử dụng - MA Method: Simple Moving Average
Nguồn: đóng cửa (mức giá đóng cửa)
Kết quả:

Ở biểu đồ phía trên, các bạn có thể thấy đường SMA 10 nhìn khá mượt và liền mạch. Giờ chúng ta sẽ cùng thêm các đường SMA 20, SMA 50 và SMA 200 xem chuyện gì sẽ diễn ra nhé:
Thông số thiệt lập:
- SMA 10: Màu xanh
- SMA 20: Màu vàng
- SMA 50: Màu đỏ
- SMA 200: Màu trắng

Chúng ta có thể nhận thấy rằng, khi tăng chu kỳ của các đường SMA lên thì khoảng cách của các đường SMA với mức giá đóng cửa cũng tăng dần.
SMA 10, Đường trung bình động giản đơn này bám khá sát so với các biến động của giá. Nhược điểm là nhiễu và hay bị phá vỡ.
SMA 20, Đường trung bình trượt chu kỳ 20 ngày cách xa dần biểu đồ nến và cũng mượt mà hơn so với SMA 10.
SMA 50: Các đoạn gấp khúc gần như không còn, đường SMA 50 này gần như liền mạch và trơn tru. Và cũng cách khá xa so với các biến động của giá cổ phiếu.
SMA 200: Là đường cách xa nhất với các biến động giá cổ phiếu và rất ít khi tiếp xúc với biểu đồ nến. SMA200 cũng cách xa hoàn toàn so với các đường SMA còn lại. SMA 200 cũng cho thấy một đường liền mạch và hoàn toàn không có sự gấp khúc.
Điều này có nghĩa là sự phản ứng với các biến động của tỷ giá của các đường SMA sẽ chậm hơn, hay chúng ta có thể gọi là Trễ - Lagging.
4. Dùng SMA xác định xu hướng giá cổ phiếu
Ứng dụng Simple Moving Average xác định xu hướng giá cổ phiếu tương đối đơn giản và dễ sử dụng. Chúng ta sẽ dùng bốn đường SMA trong phần thứ ba để xem xét xu hướng giá cổ phiếu.
Trường hợp 01: Dùng SMA xác định xu hướng tăng giá cổ phiếu
Tôi sẽ xem xét biểu đồ giá cổ phiếu DVP khung một tuần:

Chúng ta có thể thấy Cổ phiếu DVP của CTCP Đầu tư và Phát triển Cảng Đình Vũ trong xu hướng tăng dài hạn. Trong một số trường hợp, chúng ta có thể nhìn bằng mắt thường để xác định xu hướng rõ ràng.
Vấn đề là khi chúng ta có thể nhìn thấy bằng mắt thường thì xu hướng đã hình thành và thậm chí chuẩn bị kết thúc rồi.
SMA và các đường MA có thể cho chúng ta một cách đơn giản hơn để biết xu hướng có thể vừa hình thành hoặc sắp kết thúc.
Để xác định xu hướng tăng giá cổ phiếu bằng Bốn đường trung bình trượt chu kỳ 10 - 20 - 50 - 200, chúng ta có thể sử dụng nguyên tắc thứ tự như sau:
Thị giá > SMA10 > SMA20 > SMA50 > SMA200
Đây là nguyên tắc bất biến với các giá trị trung bình. Khi giá trị biến động phía trên các giá trị trung bình thì xu hướng chính là xu hướng tăng và ngược lại.
Hiểu một cách đơn giản thì khi Thị giá biến động phía trên các đường MA, nếu phải nói về xu hướng chúng ta buộc phải khẳng định đó là xu hướng tăng.
Trường hợp 02: Dùng SMA xác định xu hướng giảm giá cổ phiếu
Để xác định xu hướng giảm giá cổ phiếu, Tôi sử dụng lại Minh hoạ với Cổ phiếu VHM của CTCP Vinhomes được sử dụng trong phần 03:

Chúng ta có thể thấy rõ, khi giá cổ phiếu vào xu hướng giảm nguyên tắc thứ tự sẽ bị đảo ngược:
SMA200 > SMA50 > SMA20 > SMA10 > Thị giá
Hiểu một cách đơn giản thì khi Thị giá cổ phiếu biến động dưới các đường SMA chúng ta buộc phải khẳng định đó là xu hướng giảm của giá cổ phiếu.
4. Nhược điểm của các đường trung bình trượt giản đơn
Nhược điểm đầu tiên đó chính là các đường trung bình động giản đơn - SMA thường bị trễ (Lagging) so với các biến động của giá. Vì toàn bộ số liệu tính toán dựa vào giá của các phiên giao dịch trước đó, không phải phiên giao dịch hiện tại.
Nhược điểm thứ hai đó là các đường SMA rất dễ bị phá vỡ dẫn tới các tín hiệu Mua - Bán nếu chỉ đơn giản áp dụng các đường SMA dễ bị sai.
Khi các đường SMA bị đâm thủng, có thể chúng ta sẽ bị đánh lừa rằng rất có thể, xu hướng đã kết thúc và bắt đầu một xu hướng mới. Có ngờ đâu... Xu hướng lại tiếp tục.
Cùng xem lại tín hiệu giả trong cặp EUR/USD, Chart D1 mà chúng ta đang theo dõi ở phía trên:

Chúng ta có thể thấy Cổ phiếu VHM có đợt tăng phục hồi nhẹ sau đợt giảm mạnh và phá vỡ hai đường trung bình trượt giản đơn chu kỳ 10 và 20 ngày. Tuy nhiên, ngay sau đó, giá quay trở lại xu hướng giảm mà không tiếp tục tăng.
5. Tips: Tính tự bảo toàn của xu hướng giá cổ phiếu
TẠI SAO CÁC XU HƯỚNG LẠI MẠNH MẼ VÀ LÀM KHÔ MÁU CÁC NHÀ GIAO DỊCH CỐ BẮT ĐỈNH - ĐÁY NHƯ VẬY?
Một lý do cho đặc điểm này đó là khi thị trường đi theo một xu hướng càng lâu dài thì xu hướng đó càng chắc chắn. Thời gian duy trì xu hướng càng lâu càng dễ làm cho những người tham gia kinh doanh khác nhận ra xu hướng và tiếp tục tham gia thị trường. Khi càng nhiều nhà kinh doanh tham gia theo một hướng giống nhau, xu hướng càng được đẩy nhanh và tự nó duy trì sự tồn tại của nó.
Khi những nhà kinh doanh tìm kiếm lợi nhuận từ xu hướng tham gia thị trường giúp cho xu hướng tiếp tục, hoạt động này trở nên tự bảo toàn. Đây là một trong những lý do tại sao các xu hướng có xu thế tiếp diễn trong một thời gian dài hơn những gì phần lớn các nhà kinh doanh dự đoán; và đó cũng là lý do tại sao ta không bao giờ nên cố bắt đáy của xu hướng giảm hoặc đỉnh của một xu hướng tăng.
Trên đây là toàn bộ các kiến thức về Đường trung bình động giản đơn - Simple Moving Average (SMA). Trong bài viết sau, chúng ta sẽ cùng tìm hiểu về các Đường trung bình động hàm mũ - Exponential Moving Average (EMA).
Chúc các bạn giao dịch thành công!